Monografías
Microbiota intestinal. Dualidad desconocida: ¿es un factor de riesgo cardiovascular o un factor cardioprotector?

Año: 2025
1. INTRODUCCIÓN
“Omnes morbos in intestinum” (todas las enfermedades comienzan en el intestino) afirmó Hipócrates (460 AC-370 AC) hace siglos, sugiriendo así la relevancia central de este órgano en la salud humana. No obstante, en los últimos años ha surgido una línea de investigación que apunta hacia una potencial correlación entre la microbiota intestinal y el huésped humano, sugiriendo su posible papel crucial en el desarrollo de diversas condiciones patológicas [1].
La Organización Mundial de la Salud asegura que las enfermedades cardiovasculares son responsables de la muerte de 17,9 millones de personas al año, lo que representa el 32% de todas las muertes [2]. Dentro de los factores de riesgo para el desarrollo de este conjunto de enfermedades, hay cada vez más evidencia que respalda la importancia del microbioma humano identificando su potencial metabólico como factor contribuyente al desarrollo de estas enfermedades [3].
La microbiota intestinal se refiere a billones de microorganismos comensales ubicados en el intestino en una cierta proporción, que regulan de manera compleja el desarrollo y la función de las barreras mucosas. Esta comunidad está compuesta principalmente por bacterias, hongos y virus, siendo las bacterias el mayor exponente; dentro de las cuales predominan cinco familias: Bacteroides, Firmicutes, Actinobacteria, Proteobacteria y Verrucomicrobia [4]. El equilibrio entre estas especies se altera fácilmente por la ingesta de alimentos, el estilo de vida y el medio ambiente generando un desequilibrio cualitativo y cuantitativo de las comunidades bacterianas y sus productos metabólicos, llamado “disbiosis”. Ésta puede ser transitoria, con recuperación de un nuevo estado estacionario, o persistente, siendo el trasfondo para el desarrollo de enfermedades crónicas. Uno de los marcadores de la disbiosis intestinal es la relación entre Firmicutes y Bacteroides, ya que el aumento de dicha relación aumentaría el riesgo de enfermedad cardiovascular [5].
Numerosos subproductos metabólicos específicos podrían actuar como promotores de enfermedades cardiovasculares, siendo los más relevantes el N-óxido de trimetilamina, ácidos grasos de cadena corta, ácidos biliares, coprostanol y fenilacetilglutamina [6].
El descubrimiento de estos subproductos metabólicos y su asociación con la aparición y progresión del riesgo cardiovascular añade una nueva dimensión a la compleja relación entre la microbiota intestinal y el huésped humano [7].
El objetivo de esta monografía es esclarecer los mecanismos por los cuales los metabolitos bioactivos derivados de la microbiota intestinal podrían ejercer cambios en la fisiología del huésped humano y de este modo favorecerían el desarrollo de enfermedades cardiovasculares, o quizás, algún subproducto podría ejercer un efecto protector contra dichas enfermedades. Por otro lado, adquiere relevancia poder llegar a comprender si los cambios en la composición de la microbiota intestinal es causa o consecuencia de la enfermedad cardiovasculares, y si la modulación de dicho microbioma podría ser la base para el desarrollo de nuevas estrategias terapéuticas.
2. MATERIALES Y MÉTODO
Para el desarrollo de la presente monografía se realizó una extensa búsqueda bibliográfica en libros de texto de cardiología y microbiología, como así también artículos originales, estudios observacionales y revisiones publicadas en revistas científicas de reconocimiento nacional e internacional.
Se emplearon bases de datos electrónicas entre ellas la base de datos de la biblioteca nacional de medicina de los Estados Unidos (PubMed), Medline, Google Scholar, Scielo y LILACS. Se utilizaron palabras clave tales como “gut microbiota”, “metabolism” y “cardiovascular effects”.
Finalmente se obtuvieron datos a partir de guías, consensos extranjeros y artículos publicados por expertos. En varios artículos, por idioma o sitios de búsqueda muy específicos, no se contó con el estudio completo.
Al tratarse de un tema reciente, la literatura encontrada no es abundante. Debemos tener en cuenta que tanto los trabajos de investigación como los reportes de casos, son análisis de grupos reducidos de pacientes, lo que implica un análisis cauteloso de la evidencia encontrada.
3. DESARROLLO.
3.1 Composición de la microbiota.
La microbiota intestinal está formada por billones de microorganismos entre los que se encuentran bacterias, virus, hongos y hasta helmintos. La instauración de la colonización microbiana tiene su inicio durante el parto; si bien se postula la posibilidad de que dicha colonización tenga lugar en etapas fetales, no hay suficiente evidencia que respalde dicha hipótesis [8]. En la vida adulta cerca del 90% de las bacterias intestinales pertenecen a 2 filos: Bacteroides y Firmicutes; las Proteobacterias, Actinobacterias, Fusobacterias y Verrucomicrobia completan el 10% restante (ver Figura N° 1). La microbiota intestinal humana incluye también levaduras, fagos y protistas. El componente viral se encuentra dominado por bacteriófagos [9].
En el año 2005 Paul B. Eckburg et al. examinaron 13.355 secuencias de genes que codifican el ARN ribosomal 16S, método utilizado para determinar las relaciones filogenéticas entre bacterias [10], de múltiples sitios de la mucosa del colon y de materia fecal de sujetos sanos (n: 3). Mediante la reacción en cadena de la polimerasa se amplificó el ADN ribosomal identificando de este modo un total de 395 filotipos bacterianos, con elevada variabilidad entre sujetos, siendo los mayores exponentes los filos Firmicutes y Bacteroides. Los investigadores observaron que los microorganismos se distribuían en forma parcheada a lo largo del eje longitudinal del colon, demostrando una elevada variabilidad intraindividual [4].
Pocos años después M. Arumugam et al. secuenciaron mediante el método Sanger, 22 metagenomas europeos de individuos daneses, franceses, italianos y españoles y los combinaron con datos del genoma intestinal de individuos japoneses y estadounidenses (39 individuos en total) disponibles a través del proyecto del microbioma humano del instituto nacional de la salud [11] y el proyecto europeo del microbioma humano (METAHIT o metagenomics of the human intestinal tract) [12]. La gran mayoría de las secuencias analizadas corresponden a bacterias de los filos Firmicutes y Bacteroides, coincidiendo con los hallazgos previamente reportados por Paul B. Eckburg et al., los cuales se encuentran en una competencia microbiana permanente por lo que algunas especies exhiben una abundancia destacada, mientras que otras muestran una presencia más limitada, fenómeno conocido como “long-tail” o “cola larga” (ver Figura N° 1). Los investigadores, a partir del análisis de conglomerados multidimensionales, establecieron tres enterotipos. Cada uno de ellos presentaba un predominio bacteriano particular, y por lo tanto, un perfil metabólico diferente:
- El enterotipo 1 se encuentra enriquecido por Bacteroides quienes obtienen energía a través de la fermentación de carbohidratos y proteínas.
- El enterotipo 2 predomina la Prevotella y Desulfovibrio los cuales se caracterizan por degradar las glicoproteínas de mucina presentes en la mucosa intestinal.
- El enterotipo 3 cuyo mayor exponente es el Ruminococcus el cual es capaz de unirse a la mucina con la consiguiente hidrólisis de la misma.
Estos diferentes enterotipos no son específicos de una nación o continente [9].
Si bien hasta el momento hay pocos estudios de cohorte que analicen la composición y las funciones del microbioma humano, a partir de lo expuesto hasta el momento podemos inferir la existencia de una variabilidad interindividual significativa, por lo que las diferencias filogenéticas, es decir, el predominio de un filotipo sobre otro (por ejemplo la abundancia de Firmicutes sobre Bacteroides), y funcionales, incluyendo la integridad del epitelio intestinal, podría tener impacto en la relación microbioma intestinal y el huésped humano [9].
3.2 Papel de la microbiota intestinal en la fisiología del huésped.
La microbiota intestinal participa activamente en el proceso digestivo degradando parte de los alimentos no absorbidos o no metabolizados en intestino delgado, a través de dos vías catabólicas principales: sacarolítica y proteolítica [13].
En la vía sacarolítica, la microbiota intestinal fermenta los hidratos de carbono complejos, produciendo ácidos grasos de cadena corta (AGCC), los cuales se caracterizan por ser ácidos volátiles de menos de 6 carbonos, como el ácido acético (C2), el ácido propiónico (C3) y el ácido butírico (C4) [13]. Estos ácidos desempeñan un rol importante en el mantenimiento de la función de barrera intestinal, al activar la proteína quinasa activada por AMP, favorece la integridad de las uniones estrechas, y al aumentar la producción de mucina, disminuye la adhesión bacteriana y el pH luminal limitando así el crecimiento de microorganismos patógenos [14].
Los AGCC son absorbidos por la membrana apical de la célula colónica a través de un mecanismo de difusión pasiva y/o contratrasporte con el bicarbonato. Una vez absorbidos, una parte serán metabolizados por los colonocitos, principalmente el butirato, mientras que el resto pasará al torrente sanguíneo y de allí al hígado en donde ingresarán a diferentes vías metabólicas. El propionato se incorporará a la gluconeogénesis, mientras que el acetato y el butirato se introducirán en la biosíntesis de lípidos. Además de su función como sustratos, los AGCC son detectados por receptores acoplados a proteínas G (GPR 40, GPR 41 y GPR 43) actualmente denominados receptores de AGCC cuya mayor expresión se encuentra en células inmunes, tejido adiposo pardo, médula ósea, bazo, páncreas e intestino grueso. Esta vía metabólica se encuentra involucrada en la regulación del metabolismo de los lípidos ya que activa la oxidación de ácidos grasos, inhibe su síntesis de novo y la lipólisis (ver Figura N° 2) [15].
En la vía proteolítica, prima la fermentación de las proteínas, cuyos productos metabólicos incluyen AGCC, amoníaco, diversas aminas, tioles, fenoles e indoles. Algunos de estos metabolitos son eliminados por vía renal y su acumulación es potencialmente tóxica, por lo que se consideran toxinas urémicas microbianas [16].
Más allá de su función sobre la digestión, el metabolismo de hidratos de carbono y lípidos, la microbiota intestinal participa activamente en el desarrollo del sistema inmunológico. Tanto el tejido linfoide asociado a mucosas como las placas de Peyer y ganglios linfáticos mesentéricos, inician su desarrollo prenatalmente mediante la estimulación por células inductoras del tejido linfoide, pero su maduración y posterior desarrollo de centros germinales dependen de la colonización microbiana posnatal [17].
De este modo, se podría afirmar que este ecosistema inmensamente diverso es un actor clave en el desarrollo de la fisiología del huésped, ya que se encuentra involucrado desde la maduración del sistema inmunitario hasta el metabolismo de proteínas y lípidos [15, 16, 17].
3.3 Perfil metagenómico en pacientes con enfermedad cardiovascular.
Uno de las primeras investigaciones que ha demostrado que la disbiosis predice eventos cardiovasculares, es el estudio DESIR llevado a cabo en Francia entre los años 1994 y 1996. Éste es un estudio de cohorte longitudinal de 3.936 adultos de entre 30 y 65 años de edad cuyo objetivo inicial fue describir la historia natural del síndrome metabólico. Sin embargo, al considerar los hallazgos sobre la existencia de un microbioma circulante y su relación con la enfermedad aterosclerótica, los investigadores decidieron explorar el papel éste microbioma en el desarrollo de enfermedades cardiovasculares. Los participantes fueron sometidos, en el momento de la inclusión, a la extracción de una muestra de sangre periférica para evaluación de la secuencia del gen bacteriano ribosómico 16S, mientras que durante el seguimiento a los 3, 6 y 9 años, fueron evaluados clínicamente. Los investigadores afirmaron que los niveles circulantes de ADN bacteriano son marcadores independientes de enfermedad cardiovascular, al observar un aumento de 3,7 veces en el riesgo de eventos cardiovasculares (infarto agudo de miocardio, accidente cerebro vascular) entre los sujetos que presentaron niveles más elevados de ADN bacteriano circulante perteneciente al filo de las Proteobacterias. [18].
El análisis de secuenciación microbiana ha proporcionado una considerable cantidad de información acerca de las características de la microbiota intestinal en individuos con enfermedad cardiovascular. La caracterización de este ecosistema inmensamente diverso es el primer paso para conocer y entender los mecanismos por los cuales la microbiota intestinal desempeña un rol relevante en el desarrollo de la enfermedad cardiovascular [18].
Analizaremos a continuación estudios de investigación realizados por diferentes autores, en diversos países, a fin de dilucidar la composición filogenética, tanto de la microbiota intestinal como de la microbiota circulante en pacientes con enfermedad cardiovascular establecida.
3.3.1 Perfil metagenómico del microbioma en pacientes con enfermedad cardiovascular.
En el año 2006 Ott SJ et al., pensaban que la infección bacteriana podría ser un componente fisiopatológico relevante para el desarrollo de la enfermedad coronaria. Para ello analizaron la composición filogenética de las placas de ateroma. Se obtuvieron muestras control a partir del análisis de vasos coronarios en pacientes post mortem (n: 15) y donantes de órganos que aún presentaban actividad cardíaca (n: 11) y se las comparó con muestras obtenidas mediante aterectomía con catéter de 38 pacientes con enfermedad coronaria. Los investigadores observaron firmas de ADN bacteriano, con elevada diversidad bacteriana (más de 50 especies), en todos los pacientes con enfermedad coronaria, pero no así en el material de control. Dentro de las especies más representadas se encontraron Staphylococcus, Proteus vulgaris, Klebsiella pneumoniae y Streptococcus, incluso en un 51,5% de los pacientes con enfermedad coronaria se detectó especies de Chlamydia [19]. A partir de este análisis, años más tarde, se publicó un estudio denominado “Symptomatic atherosclerosis is associated with an altered gut metagenome”, realizado en Suecia por Karlsson et al., en donde se investigó el microbioma intestinal en pacientes con placas ateroscleróticas sintomáticas. Los investigadores consideraban que la enfermedad aterosclerótica es una patología inflamatoria que se relaciona con un patrón característico del metagenoma intestinal. Se observó en pacientes con aterosclerosis sintomática un predominio del género Collinsella, perteneciente al filo Actinobacteria, así como un aumento en la expresión de genes involucrados en la biosíntesis de peptidoglicano (PG), el cual se asocia directamente con la activación de la inmunidad innata y optimización de la función de neutrófilos. Estos hallazgos se correlacionan con el aumento significativo en los niveles circulantes de proteína C reactiva en pacientes con enfermedad aterosclerótica en comparación con los controles como marcador de inflamación. Por otro lado, es interesante señalar que en los sujetos control se encontró un predominio de los géneros Eubacterium y Roseburia, pertenecientes al grupo Clostridium del filo Firmicutes, tres especies de Bacteroides y bacterias productoras de butirato; además de un aumento en la expresión de la enzima fitoeno deshidrogenasa, lo que resultó en un aumento consecuente de los niveles de β-caroteno y, por ende, un mayor efecto antioxidante [20].
Por los hallazgos descritos previamente, los mismos investigadores afirmaron que los pacientes con aterosclerosis sintomática no solamente mostraron un incremento de la respuesta inflamatoria frente al PG, sino que también, presentaron una disminución de sustancias antioxidantes como el β-caroteno y antiinflamatorias como el butirato. De esta manera, postularon que el metagenoma podría desempeñar un papel sustancial actuando como regulador de las vías inflamatorias del huésped [20].
Posteriormente, en el año 2019, Shan Sun et al. examinaron la diversidad de la microbiota intestinal y su composición taxonómica en pacientes con hipertensión arterial a partir del estudio CARDIA (estudio de cohorte prospectivo y multicéntrico que comenzó en el año 1985 y cuyo objetivo era estudiar la evolución de la enfermedad cardiovascular en adultos) [21]. El estudio del microbioma se inició a los 30 años del seguimiento del estudio CARDIA. Se analizaron 529 adultos hipertensos, de mediana edad, reclutados en 4 centros de Estados Unidos y se compararon con aquellos participantes que asistieron al examen de seguimiento del año 30 pero no participaron en el estudio del microbioma (n: 2.752). A partir del estudio de materia fecal de estos individuos se observó, en el análisis taxonómico de pacientes hipertensos, un predominio del filo Firmicutes, clase Clostridia, dentro de los cuales los géneros más representados eran Anaerovorax, Clostridium IV, Oscillibacter y Sporobacterium. Además de ellos, los investigadores observaron que la diversidad microbiana intestinal se asoció inversamente con los valores de presión arterial. [22].
En lo que respecta a pacientes con insuficiencia cardíaca establecida, hay cada vez más evidencia sobre la existencia de una asociación entre la microbiota intestinal y la patogénesis de la insuficiencia cardíaca, en lo que se denominó la “hipótesis intestinal de la insuficiencia cardíaca”. Los mecanismos son múltiples y complejos. Entre ellos, se describe que la disminución del gasto cardíaco y la congestión sistémica provocan isquemia y edema de la mucosa intestinal, lo que favorece la translocación bacteriana como el aumento de productos bacterianos circulantes aumentando así la reacción inflamatoria sistémica. Sandek et al., analizaron las características de la pared intestinal en pacientes con insuficiencia cardíaca crónica. Se observó un incremento en el espesor de la pared intestinal en todos sus segmentos asociado a un aumento en el grosor de la biopelícula bacteriana intestinal [23]. Al analizar la composición taxonómica de la microbiota intestinal en este tipo de pacientes, Pasini et al., informaron una mayor diversidad de cepas bacterianas que se encontraron adheridas a la mucosa intestinal, con predominio en los géneros Bacteroides, Prevotella, Eubacterium y Fusobacterium, asociada a un aumento significativo de bacterias patógenas, como Campylobacter, Shigella, Salmonella, Yersinia enterocolítica, y especies fúngicas como Cándida spp., lo cual podría contribuir al origen como a la progresión de la inflamación crónica, evidenciado por el aumento en los niveles plasmáticos de proteína C reactiva, probablemente secundario al aumento de citoquinas proinflamatorias dentro de las que se encuentran el factor de necrosis tumoral α y la interleuquina 6 [24].
3.3.2 Perfil metagenómico del microbioma circulante en pacientes con enfermedad cardiovascular.
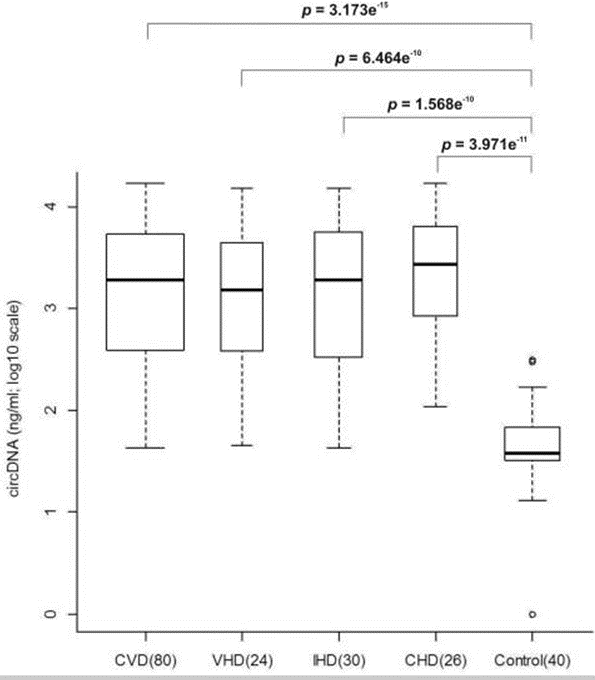
Entre julio de 2010 y marzo de 2011, Dinakaran et al. diseñaron un estudio de casos y controles con el propósito de comparar el microbioma humano circulante en pacientes que padecen enfermedad cardiovascular y sujetos sanos. Se recolectaron muestras de 80 pacientes con enfermedad cardiovascular y 40 donantes de sangre sanos en el Hospital gubernamental Rajaji, India. Este primer grupo incluyó 24 individuos con valvulopatías, 30 con cardiopatía isquémica y 26 con cardiopatías congénitas. Es importante señalar que ninguno de los pacientes presentaba enfermedades inflamatorias y ni había recibido tratamiento antibiótico en las cuatro semanas anteriores a la recolección de la muestra. En lo que respecta a la metodología del estudio, se cuantificó el ADN circulante en pacientes con enfermedad cardiovascular y en sujetos sanos. Sin embargo, este ADN circulante podría ser de origen bacteriano o de células humanas producto de la apoptosis o necrosis celular, por lo que se determinó el número de copias de genes de ARN ribosomal 16S, indicativo de ADN bacteriano circulante, y β-globina, como marcador de ADN de células humanas. Estos genes se cuantificaron mediante la técnica de reacción en cadena de polimerasa en tiempo real observando una elevación significativa en los niveles de ADN circulante en pacientes con enfermedad cardiovascular incluyendo a sujetos con cardiopatías congénitas (Mediana 1925,64 ng/ml; Rango intercuartilo: 391,83-5395,92) en comparación con los sujetos control (Mediana 37,85 ng/ml; rango intercuartilo: 32,80-69,38) demostrando significancia estadística (p = < 0,001) (ver Figura N° 3). Además, tanto el número de copias de genes de ARN ribosomal 16S como de β-globina fue significativamente mayor en sujetos con enfermedad cardiovascular que en individuos sanos [25].
Posteriormente, sobre los resultados del estudio llevado a cabo por Dinakaran et al. se realizó el análisis de curvas ROC (receiver operating characteristic curve), observando que tanto el número de copias de ADN circulante, y más específicamente, de ARN ribosomal 16S son parámetros que pueden discriminar entre pacientes con enfermedad cardiovascular de individuos sanos con una sensibilidad superior al 90% y una especificidad mayor al 82%. Además, se llevó a cabo un análisis de regresión múltiple para evaluar la relación entre los niveles de ADN circulante, ARN ribosomal 16S, β-globina y el estado cardiovascular en pacientes con valvulopatías, cardiopatía isquémica y cardiopatías congénitas. Para la valoración del estado cardiovascular se utilizaron parámetros como presión arterial, frecuencia cardíaca, niveles plasmáticos de proteína C reactiva y procalcitonina. Se observó significancia estadística en todos los casos (F < 0,05), por lo que los investigadores pudieron afirmar que las tres variables previamente mencionadas (ADN circulante, ARN ribosomal 16S y β-globina) dependen del estado cardiovascular de los pacientes, demostrando nuevamente que estos parámetros podrían utilizarse por su valor diagnóstico en la discriminación entre pacientes con o sin enfermedad cardiovascular [25].
En cuanto al perfil taxonómico de las secuencias analizadas en el estudio realizado por Dinakaran et al., se observó que Actinobacteria y Proteobacteria fueron los dos filos principales tanto en las muestras de control como en las de pacientes con enfermedad cardiovascular, seguidos por una fracción más pequeña de Firmicutes y Euryarcheota. Se destacó una mayor proporción de Proteobacterias en las muestras control, mientras que en los pacientes con enfermedad cardiovascular predominaron las Actinobacterias. Simultáneamente se identificó una mayor diversidad bacteriana en pacientes con enfermedad cardiovascular en comparación con sujetos sanos, evidenciando poblaciones de Bacteroides, Cyanobacteria, Chloroflexi, entre otros [25].
Con los resultados obtenidos en este estudio, los investigadores afirman que los pacientes con enfermedad cardiovascular presentan un aumento en los niveles circulantes de ADN microbiano así como un aumento en la diversidad bacteriana, en comparación con individuos sanos [25].
3.4 Metabolitos bioactivos derivados de la microbiota intestinal.
Como señalamos previamente la microbiota intestinal actúa como un superorganismo metabólicamente activo. Las alteraciones en la composición microbiana, conocidas como disbiosis, tiene el potencial de facilitar la translocación de bacterias y sus fragmentos al torrente sanguíneo. Este fenómeno conlleva a modificaciones en la función metabólica del huésped y al establecimiento de un entorno proinflamatorio, creando así un terreno propicio para el desarrollo de enfermedades cardiovasculares [1].
A continuación se procederá a detallar los metabolitos bioactivos derivados de la microbiota intestinal que han sido identificados hasta el momento y que poseen un impacto clínico significativo.
3.4.1 N-óxido de trimetilamina
En el año 2017, Schiattarella et al. llevaron a cabo una revisión sistemática sobre el metabolito N-óxido de trimetilamina (TMAO) como marcador de riesgo cardiovascular, la cual incluyó 17 estudios con la participación de 26.167 pacientes. Los resultados revelaron una asociación significativa entre los niveles elevados de TMAO y un incremento en el riesgo de muerte por todas las causas (HR 1,9, IC 95 % 1,4-2,6), así como un aumento en el riesgo de eventos cardíacos (HR 1,7, IC 95% 1,3-2,1). Los investigadores afirman que dichos resultados requieren validación por la considerable heterogeneidad en las características basales de los individuos y las diferencias sobre los puntos de corte en los valores de TMAO considerados del rango de normalidad, por la falta de estandarización del método, por lo que debe considerarse como un análisis generador de hipótesis [26].
Ciertos alimentos comúnmente consumidos, tales como la carne, yema de huevo y productos lácteos, contienen niveles elevados de colina, fosfatidil colina, L-carnitina y la γ-butirobetaína. Estos compuestos son metabolizados por la microbiota intestinal mediante la enzima trimetilamina liasa generando trimetilamina (TMA). Posteriormente, la trimetilamina es absorbida por el enterocito y transportada al hígado a través de la circulación portal, en donde la enzima flavin monooxigenasa 3 (FMO3) oxida la trimetilamina, formando así el TMAO, que luego se libera en la circulación sistémica [27].
El TMAO desempeña un rol fundamental en la disfunción de células endoteliales y la formación de placa aterosclerótica. Al estudiar los niveles plasmáticos de TMAO y su asociación con la incidencia de eventos cardiovasculares mayores (infarto agudo de miocardio, accidente cerebro vascular y muerte), en una cohorte prospectiva de 4.007 sujetos sanos con un seguimiento a 3 años, se observó que niveles elevados de TMAO predijo un aumento en el riesgo de eventos cardiovasculares mayores independientemente de los factores de riesgo tradicionales (p < 0,001), incluso en cohortes de bajo riesgo [28]. En el análisis post-hoc se evaluó la asociación entre los niveles plasmáticos de TMAO y el riesgo de eventos trombóticos (infarto de miocardio, accidente cerebrovascular). El TMAO mostró una asociación dosis dependiente con una mayor incidencia de eventos trombóticos; como lo ilustra la curva de Kaplan-Meier (ver Figura N° 4). Experimentos en modelos animales, utilizando inyecciones intraperitoneales de TMAO, indicaron que niveles mayores a 10 veces los observados en humanos (93,0 +/- 12,5 μM) correlacionaron con la formación de trombos en la arteria carótida [29]. Se sugiere que el incremento en el riesgo de eventos trombóticos puede atribuirse a la hiperreactividad plaquetaria por mejoría de la capacidad de respuesta de las plaquetas al agonista, dentro de los que se incluyen el adenosin di fosfato, trombina, colágeno y ácido araquidónico, mediante mayor liberación de las reservas intracelulares de calcio aún ante estímulos subóptimos. Estudios con plaquetas marcadas con fura 2-acetoxymethyl éster (Fura-2 calcium indicator) expuestas brevemente (10 minutos) a dosis fisiológicas de TMAO, demostraron un aumento significativo del inositol trifosfato cuando se utilizaba trombina o ADP como agonista, con el consiguiente aumento del calcio intracelular (ver Figura N° 5). Hasta el momento se desconoce si el TMAO actúa en un receptor específico a nivel plaquetario o si funciona como un modulador alostérico de las vías de señalización existentes [29].
Para abordar el impacto del TMAO a nivel endotelial, se desarrolló un estudio in vitro, en el cual se sometieron células endoteliales y del músculo liso vascular a concentraciones fisiológicas de TMAO, evidenciando un aumento en la expresión de genes involucrados en la respuesta inflamatoria endotelial, incluyendo aquellos participantes en la señalización de la proteína quinasa activada por mitógenos y la cascada de señalización del factor nuclear kB. A través de esta última, se observó un consiguiente aumento en el reclutamiento y la adhesión de leucocitos activados, contribuyendo así a un daño inflamatorio endotelial sustancial [30].
Paralelamente al mecanismo inflamatorio, se registró en modelos animales alimentados con una dieta rica en colina y, por lo tanto, con niveles plasmáticos elevados de TMAO, un notable incremento en la formación de células espumosas y placas ateroscleróticas en la arteria aorta. En contraste, los ratones libres de gérmenes, incapaces de generar TMAO, presentaron una reducción significativa de la carga aterosclerótica [31].
3.4.2 Ácidos grasos de cadena corta.
Los AGCC son ácidos grasos saturados que contienen entre 2 a 6 moléculas de carbono, siendo el acetato (C2), el propionato (C3) y el butirato (C4) los principales exponentes de este grupo. Se originan a partir de la fermentación de fibras y almidones que no han sido metabolizados en intestino delgado, por lo que a nivel del colon proximal, bacterias del filo Bifidobacterias y Firmicutes, pueden utilizar diferentes vías metabólicas, como la vía glucolítica, vía de las pentosas fosfato, vía Wood-Ljungdahl, entre otras, para la formación de dichos compuestos. Los AGCC atraviesan la mucosa a través de un transporte activo mediado por el transportador de monocarboxilato 1 (MCT-1) y los receptores de monocarboxilato 1 (SMCT-1) acoplados a sodio. El butirato es utilizado por los colonocitos, siendo su principal fuente de energía, mientras que el acetato y el propionato llegan al hígado a través de la vena porta. Posteriormente, el propionato puede utilizarse como sustrato para el ciclo del ácido tricarboxílico productor de energía, mientras que el acetato permanece en el hígado o se libera al sistema venoso periférico. Una vez en circulación, estos productos pueden modular respuestas biológicas en el huésped mediante, por un lado, la inhibición directa de las histonas desacetiladas, característico del butirato y propionato, y por el otro, mediante la estimulación de receptores acoplados a proteínas G (GPR 41, GPR 43) (ver Figura N° 6) [32].
Dentro de la familia de receptores acoplados a proteínas G se encuentran el GPR 41 y GPR 43. El receptor GPR 41 se expresa principalmente en el tejido adiposo y células del endotelio vascular, mientras que GPR 43 se encontró en células inmunes y células del epitelio intestinal [33]. De este modo, los AGCC pueden regular numerosas funciones biológicas. Por ejemplo, a nivel endotelial produce vasodilatación periférica al estimular la proteína Gi y a nivel inmunitario, los AGCC son capaces de regular la función leucocitaria, incluida la producción de citoquinas (factor de necrosis tumoral α, interleucina 2, interleucina 6 e interleucina 10), eicosanoides y quimiocinas (proteína quimiotáctica de monocitos 1). Este efecto fue descrito por Cox et al. al estudiar tanto in vitro como in vivo el efecto de los AGCC sobre neutrófilos y monocitos, observando una inducción sobre la liberación de prostaglandina E2, e inhibición de la producción de la proteína quimiotáctica constitutiva de monocitos 1 e interleucina 10. Además observaron una disminución de la producción de factor de necrosis tumoral α e interferón γ inducida por el lipopolisacárido bacteriano (LPS). Esta atenuación de la respuesta inflamatoria podría estar relacionada con la inhibición directa de las histonas desacetiladas y la inhibición de la activación del factor nuclear kB como respuesta a la presencia del LPS. Como mecanismo adicional, el propionato tiene la capacidad de actuar a nivel de las unidades formadoras de colonia eritroide y de granulocitos-monocitos, inhibiendo aún más la capacidad de respuesta inflamatoria. A nivel intestinal, la estimulación del GPR 43 en el epitelio colónico produce una hiperpolarización celular que se acompaña de una reducción de la apoptosis favoreciendo así la integridad de la mucosa intestinal [34, 35].
Por lo descrito previamente, los AGCC a nivel general, y particularmente el propionato presentan una función cardioprotectora, no solamente a nivel vascular sino a nivel cardíaco. Se ha demostrado en modelos animales que la administración vía oral de propionato (200 mmol/L) redujo significativamente el remodelado cardíaco, la fibrosis y la disfunción vascular inducida por angiotensina II. Al mismo tiempo, se observó que los animales tratados presentaron una mejoría en la remodelación eléctrica cardíaca al disminuir la migración de la conexina 43 (proteína de unión clave en la propagación del impulso eléctrico) al borde lateral de los cardiomiocitos, reduciendo la susceptibilidad a arritmias ventriculares [36].
3.4.3 Ácidos biliares.
El inicio de la síntesis de los ácidos biliares (AB) ocurre en el hígado mediante el catabolismo del colesterol a través de múltiples reacciones enzimáticas. A través de estas vía se forman los AB primarios (ácido cólico y ácido quenodesoxicólico) que se conjugan inicialmente en el hígado con los aminoácidos taurina o glicina para su posterior liberación en intestino. La microbiota intestinal, mediante un proceso de desconjugación y deshidroxilación, forma los AB secundarios (ácido desoxicólico y ácido litocólico). Finalmente, estos ácidos pueden ser recaptados a través de la circulación enterohepática o pueden ser eliminados por materia fecal [37].
Bacterias como Lactobacillus spp., Clostridium spp., Enterococcus spp. y Bifidobacterium spp., producen la enzima hidrolasa de sales biliares bacteriana, y bacterias del género Clostridium y Eubacteria son responsables de la 7-deshidroxilación, por lo que incremento en el número de estas especies bacterianas producirán un aumento en la producción de AB secundarios [38].
Los AB interactúan con receptores nucleares, como el receptor farnesoide X (FXR) y el receptor de vitamina D, ambos con implicancias significativas en la función cardiovascular. El FXR se expresa en múltiples tejidos como hígado e intestino, donde regula la homeostasis de colesterol y AB, pero también a nivel vascular periférico, más específicamente, en células del músculo liso vascular, en donde regula la proliferación de dichas células y la síntesis de proteínas de transferencia de fosfolípidos, un importante regulador del transporte inverso del colesterol, por lo que su activación produce un efecto antiaterosclerótico [39].
Por su parte, Pu et al. demostraron la presencia de FXR tanto en cardiomiocitos neonatales y adultos como en fibroblastos. Observaron que la unión al agonista, como el ácido quenodesoxicólico, indujo significativamente la expresión del ARNm de dicho receptor, como un mecanismo de autoactivación mediado por ligandos. También redujo la viabilidad celular de manera dependiente de la dosis y el tiempo de exposición. Se evidenció que la activación del receptor altera la función mitocondrial mediante la activación del poro de transición de la permeabilidad mitocondrial, desencadenando finalmente la apoptosis de dichas células [40].
Como mencionamos previamente, otro de los receptores en donde actúan los AB es el receptor de la vitamina D. Se observó en modelos animales su localización a nivel de los túbulos T de los cardiomiocitos. La exposición a su ligando (vitamina D y ácido litocólico) mejoró significativamente la tasa de relajación de cardiomiocitos aislados pero con disminución de la contracción muscular [41].
Un análisis adicional llevado a cabo por Binah et al., evidenció el efecto inotrópico negativo de los AB, mediante la aplicación in vitro de AB primarios y secundarios en el músculo ventricular de roedores, observando una notable afectación en el potencial transmembrana [42]. Estos hallazgos también fueron descriptos en pacientes cirróticos, los cuales presentaron una disminución de la fracción de eyección del ventrículo izquierdo asociado con una prolongación en el intervalo QT, probablemente secundario a una alteración en el metabolismo de los ácidos biliares [43].
3.4.4 Coprostanol.
Bacterias intestinales como Eubacterium coprostanoligenes, Bacteroides spp., Lactobacillus spp. y Bifidobacterium spp. se han descrito como cepas reductoras del colesterol, ya que presentan la capacidad de sintetizar la enzima colesterol deshidrogenasa, codificadas por genes ismA. Dichas enzimas convierten el colesterol absorbible en coprostanol, un esterol reducido no absorbible, el cual es eliminado por materia fecal. La tasa de conversión puede ser bimodal, es decir, que puede ser alta con una conversión casi completa del colesterol, o baja, en donde hay menos de un tercio del contenido de coprostanol en materia fecal. Dicha variación depende del sexo y la edad, registrándose una mayor proporción de no convertidores (tasa de conversión < 5%) y bajos convertidores (tasa de conversión entre 5% y 40%) en hombres de mayor edad, mientras que el grupo de convertidores altos (tasa de conversión > 40%) se encuentra representado principalmente por mujeres jóvenes [44, 45].
Kenny et al. realizaron un metanálisis de tres estudios de cohorte (Framingham Heart Study, CVON y Jie et al.) tomando en cuenta los datos del metagenoma de muestras de materia fecal y la medición del colesterol sérico de participantes de áreas geográficas diferentes (Estados Unidos, Países bajos y China). Se observó una disminución del colesterol total a favor de sujetos que presentaban bacterias ismA positivas, asociándose con niveles más bajos de colesterol en materia fecal por mayor producción de coprostanol. Los investigadores afirman que estos hallazgos sugieren que la microbiota intestinal es capaz de disminuir los niveles de colesterol del huésped, por lo que podría ser la base para eventuales intervenciones terapéuticas centradas en la microbiota intestinal especialmente en bacterias coprostanoligénicas [46].
3.4.5 Fenilacetilglutamina.
Dodd et al. desarrollaron un estudio de cohorte prospectivo de 1.162 pacientes tanto diabéticos como no diabéticos, sometidos a una evaluación cardiológica diagnóstica, con un seguimiento a tres años. Se evaluaron los productos circulantes de la microbiota asociados a MACE (infarto agudo de miocardio, accidente cerebrovascular y muerte), evidenciando que los niveles más elevados de fenilacetilglutamina (PAGln, por sus siglas en inglés) se encontraba en sujetos que desarrollaron el evento, sin diferencia estadísticamente significativa entre diabéticos y no diabéticos. Incluso este estudio afirma que el nivel plasmático de PAGln es un factor de riesgo independiente para el desarrollo de infarto agudo de miocardio, accidente cerebrovascular y muerte [47].
Bacterias del filo Firmicutes, especialmente del género Clostridium, se han identificado como bacterias capaces de metabolizar ácidos aromáticos. El aminoácido esencial fenilalanina, presente en numerosos alimentos de origen animal, es metabolizado por la microbiota intestinal, dando origen a la PAGln y a la fenilacetilglicina. El gen porA microbiano se ha descrito como el responsable de la oxidación de dicho aminoácido [47].
El metabolito PAGln puede inducir respuestas celulares a través de su interacción con los receptores acoplados a proteínas G, incluidos los receptores adrenérgicos α2A, α2B y β2. Particularmente, se ha descrito una asociación positiva entre los niveles plasmáticos de PAGln y eventos trombóticos, por lo que Nemet et al. estudiaron el impacto de la PAGln a nivel plaquetario y de la matriz vascular. Ellos demostraron que al exponer plaquetas humanas a PAGln (100 μM durante 30 minutos), genera un aumento significativo en la expresión de selectina P y de la activación de la glicoproteína α2-β3 ante la exposición a agonistas conocidos (adenosin di fosfato, trombina y colágeno). Además aquellas plaquetas que habían tenido contacto con concentraciones mayores a 10 μM de PAGln presentaron un aumento de la concentración del calcio intraplaquetario tanto basal como en respuesta al agonista, mejorando así la agregación plaquetaria en forma dosis dependiente [48].
Considerando la influencia de la PAGln en los receptores adrenérgicos, surge la pregunta sobre si este metabolito puede promover o modular fenotipos relevantes para el desarrollo de la insuficiencia cardíaca. Con el propósito de abordar este interrogante, Romano et al. llevaron a cabo un análisis de dos cohortes independientes de pacientes que acudieron a centros de referencia de atención terciaria. Una de las cohortes se realizó en Estados Unidos con 3.256 pacientes y la otra en Europa de 829 pacientes. Estos sujetos, estables y sin evidencia de síndrome coronario agudo, fueron sometidos a angiografía coronaria electiva o tomografía computada coronaria como parte de su evaluación. Se evidenció una asociación dosis dependiente entre los niveles plasmáticos de PAGln y los índices de gravedad de la insuficiencia cardíaca evaluados mediante el nivel de reducción de la función sistólica del ventrículo izquierdo y elevación de péptidos natriuréticos. Es relevante señalar que dicha asociación persistió incluso antes del desarrollo de la insuficiencia cardíaca per se. Adicionalmente, los investigadores afirman que la PAGln exhibe un efecto inotrópico negativo indirecto, al observar una significativa disminución del efecto inotrópico positivo de la epinefrina en miocitos aislado en presencia de 100 μM de PAGln (ver Figura Nº 7) [49].
Dentro de las limitaciones más relevantes señaladas por los autores se encuentra el predominio de pacientes con elevada carga de factores de riesgo cardiovasculares, con un elevado predominio de miocardiopatías de etiología isquémico-necrótica, pero con una representación insuficiente de miocardiopatías de etiología no isquémica, por lo que presentan un elevado sesgo de selección; además no hay discriminación entre sujetos con insuficiencia cardíaca con fracción de eyección del ventrículo izquierdo preservada y reducida, y tampoco se evaluó la relación entre los niveles de PAGln y remodelado ventricular adverso y/o fibrosis miocárdica. Es por ello que los investigadores destacan que si bien este estudio requiere mayor validación, podría considerarse como un generador de hipótesis al describir el papel desempeñado por la PAGln incluso antes del desarrollo de insuficiencia cardíaca clínicamente manifiesta [49].
3.5 Metabolitos bioactivos como condición predisponente para el desarrollo de enfermedades cardiovasculares.
3.5.1 Aterosclerosis y enfermedad coronaria.
La enfermedad aterosclerótica, se la considera una patología metabólica e inflamatoria [50] que presenta una estrecha relación con la endotoxemia, definida principalmente por la presencia de LPS en sangre periférica el cual es un componente esencial de la membrana externa de bacterias gram negativas [51, 52]. Esto fue demostrado, como se mencionó previamente, por el estudio realizado por Karlsson et al. en pacientes con aterosclerosis sintomática, en donde se observó un incremento de bacterias del género Clostridiales y Clostridium sp., con mayor producción de peptidoglicano, favoreciendo de este modo un perfil inflamatorio sistémico [53]. Incluso al analizar la composición de las placas de ateroma en paciente con enfermedad coronaria, como se describió previamente, Ott SJ et al. han observado una alta diversidad de ADN bacteriano en dichas lesiones que pueden alterar la estabilidad de la placa [54]. Además del efecto inflamatorio generado por la presencia de bacterias circulantes, se han realizado estudios de cohorte prospectivo que evidencian que productos del microbioma intestinal también actúan en forma directa sobre el endotelio vascular, un ejemplo de ello, es el TMAO, el cual es considerado como un biomarcador proaterogénico y un predictor de riesgo de eventos cardiovasculares [55, 56]. En modelos animales al suprimir la microbiota intestinal, se observó un marcado descenso de los niveles circulantes de TMAO y de células espumosas en la raíz aórtica. Por lo que hubo una disminución de la aterosclerosis dependiente de la colina [57].
Por lo tanto, podríamos considerar al microbioma circulante como un factor de riesgo adicional e independiente que, no solamente favorece el desarrollo, sino que acelera la progresión de la enfermedad aterosclerótica.
3.5.2 Hipertensión arterial.
Uno de los principales factores de riesgo cardiovasculares es la hipertensión arterial. En numerosos estudios de investigación se ha descrito que una presión arterial sistólica mayor a 130 mmHg aumenta en forma significativa el riesgo de enfermedad cardiovascular y muerte por todas las causas [58]. Es por ello que en los últimos años, se ha investigado el rol que desempeña la microbiota intestinal y sus metabolitos sobre la fisiopatología de la hipertensión arterial.
Dentro de los metabolitos producidos por la microbiota intestinal, se encuentra el TMAO. En un metaanálisis realizado por Jia-Ming Han et al., en donde se incluyeron quince estudios con un total de 15.498 pacientes con enfermedad cardiovascular (enfermedad coronaria, insuficiencia cardíaca y arritmias), se observó que los niveles circulantes de TMAO presentaban una asociación lineal con el riesgo de hipertensión arterial, es decir, que cuando el TMAO circulante aumentaba en 1 μmol/ litro, el riesgo de hipertensión arterial aumentaba en un 1,014% [59].
Se han descrito diferentes mecanismos por los cuales el TMAO ejercería su efecto sobre la presión arterial. Por un lado, aumenta la expresión del receptor scavenger en la superficie de macrófagos favoreciendo la formación de células espumosas y por otro lado aumenta la producción de los productos finales de glicación avanzada de proteínas, generando de este modo un perfil inflamatorio y proaterogénico. Además genera una sobreproducción de especies reactivas del oxígeno mediante la inducción de la proteína quinasa del retículo endoplasmático, alterando la producción de óxido nítrico por parte del endotelio vascular, con el consecuente aumento en la rigidez arterial. Por otro lado, se observó en modelos animales que el TMAO es capaz de prolongar el efecto hipertensivo de angiotensina II aumentando aún más el riesgo y la progresión de la hipertensión arterial [60, 61, 62, 63].
Además del TMAO, como se describió previamente, sabemos que los AGCC actúan en receptores acoplados a proteínas G (GPR 41 y GPR 43) expresados principalmente en células del músculo liso de pequeños vasos de resistencia. Por otro lado, se ha demostrado que productos derivados de la microbiota intestinal, como el propionato y el acetato, también actúan sobre el receptor Olfr 78, receptor olfativo conocido como receptor de ácidos grasos libres, expresado en la arteriola aferente renal, y a través del cual estimula la secreción de renina al aumentar la producción de AMP cíclico en las células yuxtaglomerulares. En este estudio desarrollado por Pluznick et al. en modelos animales, se observó el efecto dual de los AGCC. Por otro lado, en ratones con deficiencia del receptor Olfr 78, se evidenció un efecto hipotensor considerable ante el propionato, pero en aquellos animales con deficiencia de receptor GP 41, aumentaba considerablemente la presión arterial en presencia del agonista. Por estos hallazgos los investigadores concluyeron que la activación del receptor Olfr 78 antagoniza los efectos hipotensores de los AGCC [64].
3.5.3 Infarto de miocardio.
Estudios realizados en modelos animales en donde se analizó las concentraciones de TMAO en sangre periférica y se cultivó el tejido cardíaco 7 días posteriores al infarto de miocardio, demostraron que el TMAO exacerba tanto la inflamación como la fibrosis miocárdica, al favorecer la apoptosis de cardiomiocitos e infiltración de macrófagos en el área lesionada. Además, se observó una mayor activación de la vía del factor de crecimiento transformante β tipo I – Smad 2 con transformación de fibroblastos en miofibroblastos con posterior aumento del remodelado ventricular y el consecuente deterioro de la función ventricular [65]. Sin embargo, el TMAO no es el único metabolito que actúa a nivel cardíaco. Uno de los receptores que se ha estudiado en los últimos años, es el FXR, miembro de la superfamilia de receptores nucleares, y cuyos ligandos son los AB. Pu et al., observaron, en modelos animales, que cuando sometían al tejido cardíaco a isquemia con posterior reperfusión, se producía un aumento significativo en la expresión del FXR en la zona afectada. Al adicionar un antagonista de dicho receptor, se evidenció una disminución del tamaño del área del infarto entre un 23% y un 49,7%. Es por ello que los investigadores afirman que la activación del FXR conduce a la apoptosis de cardiomiocitos en respuesta a la lesión por isquemia reperfusión, conduciendo finalmente a un remodelado ventricular adverso [40].
3.5.4 Insuficiencia cardíaca.
En lo que respecta a pacientes con insuficiencia cardíaca, se cree que la congestión en la circulación esplácnica, el edema en la pared y la perfusión intestinal inadecuada favorecen la translocación bacteriana, lo que conduce a un aumento en la concentración tanto de la microbiota circulante como de los metabolitos bacterianos, desarrollando así un mayor estado inflamatorio [66].
Estos hallazgos se evidenciaron en una cohorte prospectiva y unicéntrica, desarrollada en la clínica Cleveland, Estados Unidos, en donde al estudiar paciente con insuficiencia cardíaca estable, se observó una relación directa entre los niveles plasmáticos de TMAO y marcadores oxidativos como el ácido úrico, e inversa con la enzima paraoxonasa 1, como marcador antioxidante. Adicionalmente, los investigadores afirman que el nivel de TMAO se correlaciona con el riesgo de mortalidad a 5 años, por lo que se considera un factor pronóstico independiente a los factores de riesgo habituales, índices cardiorrenales (péptidos natriuréticos y tasa de filtrado glomerular) y marcadores de inflamación sistémica (proteína C reactiva) [67].
En el año 2016, Organ et al., evaluaron en modelos animales el remodelado cardíaco y la disfunción del ventrículo izquierdo tras la constricción transversa de la aorta. Se analizaron ratones alimentados con dieta control, alto contenido de colina (1,2%) o dieta suplementada con TMAO (0,12%) durante 3 semanas, luego de lo cual se realizó una constricción transversal de la aorta y se observó la respuesta a las 12 semanas continuando sin cambios en la dieta seleccionada al inicio del estudio. Los resultados fueron contundentes. Hubo una mayor tendencia a un remodelado adverso con mayor deterioro de la función sistólica del ventrículo izquierdo en aquellos ratones alimentados con dieta suplementada tanto con TMAO como con colina, los cuales presentaron niveles más elevados de TMAO en plasma en comparación con los controles. A pesar de estos hallazgos, en este estudio no se evalúa la composición de la microbiota intestinal en los diferentes grupos de intervención. Es por ello que los investigadores afirman que se requieren estudios adicionales que examinen si la microbiota intestinal y la vía de la colina-TMAO contribuyen a una mayor susceptibilidad a la insuficiencia cardíaca [68].
3.6 ¿La modulación de la microbiota intestinal reduce el riesgo cardiovascular?
Desde el año 1997 un conjunto de investigadores (grupo DASH) publicó un estudio cuyo objetivo era evaluar el efecto de los patrones dietéticos sobre la presión arterial. Ellos afirmaban que la dieta con alto contenido de fibra alimentaria puede reducir sustancialmente la presión arterial por el aumento en la biosíntesis de AGCC [69]. Años más tarde, un metaanálisis de 25 ensayos controlados y aleatorizados realizado por Whelton et al., demostró que una mayor ingesta de fibra dietética reduce en forma significativa los niveles de presión arterial en pacientes hipertensos, coincidiendo de esta manera con lo publicado previamente en el estudio DASH [70]. Es por ello que, actualmente, la modulación de la dieta es una de las principales herramientas terapéuticas para el control de enfermedades metabólicas.
Si bien existe evidencia de que los alimentos ingeridos pueden afectar en forma significativa la composición de la microbiota intestinal y, de esta manera, reducir o aumentar el riesgo de aparición de los llamados “factores de riesgo cardiovasculares” [71], aún solo se ha descrito en modelos animales que este tipo de intervenciones es capaz de disminuir tanto el riesgo como la progresión de enfermedades cardiovasculares.
En este sentido, Marques et al. [72] desarrollaron un estudio en modelos animales con la intención de evaluar el efecto de la fibra alimentaria o la suplementación con acetato sobre la prevención de enfermedades cardiovasculares. Para ello tomaron ratones machos y los dividieron en tres grupos de acuerdo a la intervención dietética: control (dieta con 47.6% de fibra), dieta con alto contenido de fibra (72.7% de fibra) y dieta suplementada con acetato (200 mmol/L de acetato de magnesio en agua potable). Luego de 3 semanas, los ratones menores a 6 semanas de edad se sometieron a una nefrectomía izquierda y se les implantó un gránulo de acetato de desoxicorticosterona (DOCA) de liberación lenta o un gránulo placebo. De esta manera, el estudio se dividió en cuatro grupos de tratamiento: gránulo placebo más dieta control (n:13), gránulo de DOCA más dieta control (n:11), gránulo de DOCA más dieta con alto contenido de fibra (n:15), gránulo de DOCA más dieta suplementada con acetato (n:13). Esta intervención tuvo una duración total de 6 semanas, luego de lo cual se evaluaron resultados. En lo que respecta a las características de la microbiota intestinal, en el grupo intervención se observó una reducción de la disbiosis intestinal, medida por la disminución en la relación entre Firmicutes/Bacteroides con incremento en bacterias productoras de AGCC a expensas de un aumento en bacterias del género Bacteroides acidifaciens (ver Figura Nº 8). Se observó que aquellos ratones alimentados con una dieta con un alto contenido de fibra así como los que recibieron una dieta suplementada con acetato, redujeron significativamente los niveles de presión arterial, la fibrosis cardíaca y la hipertrofia ventricular izquierda. Al analizar el transcriptoma cardíaco se observó en el grupo intervención que, tanto la fibra como el acetato, aumentaron la expresión de genes cardioprotectores, entre ellos los genes titina-cap, que sintetiza una proteína llamada teletonina la cual se encuentra en el disco Z y cuya función consiste en ser un sitio de anclaje de la titina y modular la expresión del gen p53 (gen supresor de tumores proapoptótico) luego del estrés biomecánico [73], y el inhibidor de la metaloproteinasa tisular 4 el cual está involucrado en la proliferación celular, la apoptosis y la angiogénesis [74]. Adicionalmente, se observó en este grupo una disminución en la expresión del gen de la proteína de respuesta al crecimiento temprano 1, el cual se encuentra involucrado en numerosos procesos patológicos cardiovasculares, entre ellos en el engrosamiento de la íntima luego de una lesión vascular mecánica y regulación de genes procoagulantes y proinflamatorios durante la lesión por isquemia – reperfusión [75]. Por los hallazgos demostrados, los investigadores afirmaron que una dieta con alto contenido de fibras aumenta la producción de AGCC por parte de la microbiota intestinal, y la suplementación con acetato, atenúa en forma significativa los efectos adversos del exceso de mineralocorticoides entre los que se encuentran la hipertensión arterial, hipertrofia y fibrosis cardíaca [72].
Una de las intervenciones terapéuticas más prometedoras consiste en la administración de probióticos. La Organización Mundial de la Salud define a los probióticos como “aquellos productos que contienen microorganismos vivos, los cuales, cuando se administran en cantidades adecuadas confieren un beneficio para la salud del huésped” [76]. Frente a esta premisa Jones et al. en el año 2012 publicaron un estudio multicéntrico, aleatorizado, doble ciego, controlado con placebo y de brazos paralelos con el objetivo de evaluar la eficacia del yogurt microencapsulado de Lactobacillus reuteri para reducir el colesterol. Una característica relevante del Lactobacillus reuteri es la expresión de la enzima hidrolasa de sales biliares. Este estudio plantea la hipótesis de que si se aumenta la desconjugación de ácidos biliares, aumentará el catabolismo del colesterol para la síntesis de nuevos ácidos biliares disminuyendo, de este modo, los niveles plasmáticos de colesterol. Este estudio incluía a hombres y mujeres entre 18 y 74 años inclusive, con niveles de colesterol LDL > 3.4 mmol/l, niveles de triglicéridos < 4.0 mmol/l, índice de masa corporal entre 22 y 32 kg/m2 y capacidad para comprender procedimientos dietéticos. 120 sujetos fueron los incluidos en la aleatorización. El estudio tuvo una duración total de 10 semanas que incluyó 2 semanas de dieta general, 2 semanas de preinclusión en la cual los sujetos consumieron yogurt placebo dos veces por día y, finalmente, un período de 6 semanas en la que los sujetos consumieron placebo o yogurt de tratamiento dos veces al día. Los investigadores observaron una tendencia a la reducción en los niveles de colesterol LDL (8.92%), el colesterol total (4.81%) y el colesterol no HDL (6.01%) en el brazo tratamiento frente a placebo, lo que demuestra el efecto beneficioso de este probiótico en sujetos hipercolesterolémicos [77].
Otras de las potenciales intervenciones dietéticas, se encuentra el uso de prebióticos, los cuales son sustancias no digeribles que estimulan el crecimiento de microorganismos. Dentro de los prebióticos más conocidos se encuentran los oligosacáridos de origen vegetal. Estas sustancias son fermentadas por bacterias intestinales favoreciendo el crecimiento de bacterias beneficiosas, como Lactobacillus y Bifidobacterium, así como bacterias productoras de AGCC [78]. Parnell y Reiner describieron que la suplementación con prebióticos reduce los niveles de colesterol plasmático en modelos animales hipercolesterolémicos. En este estudio se utilizaron ratas delgadas y obesas de 8 semanas de edad, a las cuales se les administró una de tres dietas: control (0% de fibra prebiótica) o suplementadas con fibra prebiótica (10% o 20%) durante 10 semanas. Los investigadores observaron que ambas dosis de fibra prebiótica redujeron en forma significativa las concentraciones de colesterol plasmático y triacilglicéridos por gramo de tejido hepático en ratas hiperlipidémicas obesas [79].
Más allá de las intervenciones dietéticas, las enzimas que intervienen en la biosíntesis de los productos derivados de la microbiota intestinal constituyen un objetivo terapéutico innovador. Uno de los metabolitos estudiados es el TMAO, principalmente por su asociación con patologías como aterosclerosis, hipertensión arterial e insuficiencia cardíaca. En el año 2015, Wang et al. identificaron un inhibidor de la formación microbiana de TMA a partir de la colina, llamado 3,3-dimetil-1-butanol (DMB) el cual es un análogo estructural de la colina y cuya función es la inhibición de la TMA liasa microbiana. Al analizar el comportamiento in vitro del DMB, se observó en primer lugar que su actividad inhibitoria se centra en las TMA liasas microbianas sintetizadas a partir de la expresión del complejo genético cutC/D, y, en segundo lugar, la acción del inhibidor presenta un comportamiento no letal, es decir, que no tiene impacto adverso sobre el crecimiento celular. En estudios in vivo en modelos animales expuestos a una dieta alta en colina, se observó en aquellos ratones a los que se le administraba DMB vía oral, una disminución significativa en los niveles circulantes de TMAO con la consecuente disminución en el desarrollo de células espumosas y, por lo tanto, de placas de ateroma evaluado en la raíz aórtica. Si bien los efectos beneficiosos de este compuesto son notables, los investigadores no pudieron descartar un eventual desarrollo de resistencia contra el inhibidor considerando que el microbioma intestinal es dinámico y posee una elevada capacidad de adaptarse a los cambios del huésped [80].
Finalmente, otra de las intervenciones terapéuticas contempladas, fue la descontaminación selectiva de la microbiota intestinal. Para ello, Conraads et al., diseñaron un ensayo piloto, no controlado y no randomizado, en el cual incluyeron 10 paciente con insuficiencia cardíaca avanzada, de los cuales 8 eran hombres y 2 mujeres, que se encontraban en clase funciona III o IV de la New York Heart Association y con una fracción de eyección del ventrículo izquierdo entre el 14% y 37%. Los sujetos recibieron 800 mg de polimixina B no absorbible y 320 mg de tobramicina, como tratamiento antibiótico específico contra bacilos gram negativos aeróbicos intestinales, durante un período de 8 semanas. Se evaluaron, al inicio del tratamiento y luego a las 4 y 8 semanas, la expresión de CD14 en monocitos, las concentraciones intracelulares de interleucina-1β, interleucina-6 y factor de necrosis tumoral-α, la endotoxina circulante estimada por los niveles plasmáticos de LPS, y por último, se midieron la concentración de bacilos gram negativos y endotoxina en materia fecal. Se observó una reducción de las endotoxinas intestinales y una atenuación tanto en la activación como en la síntesis de citoquinas por parte de monocitos. Sin embargo, estos efectos fueron transitorios, ya que 2 semanas después de la interrupción del tratamiento antibiótico, las concentraciones de bacilos gram negativos volvieron a su nivel basal, y 6 semanas después de la interrupción dicho tratamiento, la producción intracelular de citocinas proinflamatorias también regresaron a sus niveles basales. Los investigadores destacaron que para mantener el efecto de los antimicrobianos sería necesario mantener un uso continuo, lo cual podría tener efectos adversos considerables, los cuales no se han analizado en este estudio, aunque una opción que podría resultar útil, es el uso intermitente de antimicrobianos durante la descompensación de la insuficiencia cardíaca para disminuir la translocación tanto bacteriana como de endotoxinas [81].
4. DISCUSIÓN.
Si bien el conocimiento de la existencia de una microbiota intestinal es de hace muchos años, en las últimas décadas hubo un cambio en el paradigma desde un enfoque taxonómico (¿Quién está allí?) a uno funcional (¿Qué están haciendo?). En este camino de descubrimiento sobre la función del microbioma se describió su rol central en el desarrollo y maduración del sistema inmune así como en el proceso digestivo favoreciendo la absorción de numerosos nutrientes y metabolitos. Pero desde que aparecieron estudios, como el DESIR, en donde se observó que pacientes con niveles más elevados de ADN bacteriano circulante presentaban mayor riesgo de enfermedad cardiovascular, se comenzó a investigar los productos derivados de la microbiota intestinal y su impacto en la fisiología del huésped. ¿Todos los subproductos microbianos tienen efectos perjudiciales? ¿Existe algún metabolito cardioprotector? ¿La disbiosis intestinal es causa o consecuencia de la enfermedad cardiovascular?
En el intento de responder a alguno de estos interrogantes, Dinakaran et al. realizaron un estudio en el que se observó un aumento en los niveles circulantes de ADN microbiano en sujetos con enfermedad cardiovascular entre los que se incluían pacientes con valvulopatías, cardiopatía isquémica y cardiopatías congénitas. Los investigadores afirman que la medición del número de copias del ADN circulante presenta una sensibilidad superior al 90% y una especificidad mayor al 82% para discriminar entre pacientes con enfermedad cardiovascular e individuos sanos. Considerando los resultados de este estudio y teniendo en cuenta que la colonización microbiana tiene su inicio durante el parto, hace suponer que la disbiosis intestinal es consecuencia de la enfermedad cardiovascular ya que sujetos con cardiopatías congénitas también presentaron una elevada concentración de ADN microbiano en sangre periférica. Sin embargo al estudiar la relación entre la microbiota intestinal y los diferentes factores de riesgo cardiovasculares, numerosos investigadores afirman que la disbiosis intestinal favorece el desarrollo y la progresión de dichos factores de riesgo.
Hasta el momento se conocía a la enfermedad aterosclerótica como una patología cuya base es la inflamación crónica, hasta que Otto SJ et al. analizaron la composición filogenética de las placas de ateroma, observando una elevada diversidad bacteriana en dichas lesiones. ¿Podría ser que el microbioma circulante favorezca el desarrollo y la progresión de la enfermedad aterosclerótica? Para responder este interrogante Karlsson et al. describieron una asociación entre el aumento de la expresión de genes involucrados en la síntesis de peptidoglicano y marcadores inflamatorios como la proteína C reactiva. A pesar de que este estudio no pudo proporcionar evidencia de efectos causales directos, sí demostró que la microbiota intestinal tiene un rol relevante en el desarrollo de esta patología. En cuanto a los productos derivados de la microbiota intestinal que presentan un impacto significativo en la enfermedad aterosclerótica, se ha descrito en modelos animales, que niveles elevados de TMAO circulante favorece el desarrollo de células espumosas y, por lo tanto, de placas de ateromas. Sin embargo, no todos los subproductos metabólicos son perjudiciales para el endotelio vascular. Kenny et al. demostraron en un metaanálisis realizado en el año 2020, que aquellos pacientes que presentaban bacterias coprostanoligénicas tenían niveles más bajos de colesterol y mayor eliminación de coprostanol por materia fecal, de este modo actuaría como un metabolito cardioprotector. En base a los hallazgos, se ha postulado que la administración de probióticos como fuente de bacterias coprostanoligénicas podría ser un adyuvante para el tratamiento de pacientes hipercolesterolémicos. Además se ha probado en modelos animales que la administración de fibra prebiótica reduce los niveles plasmáticos de colesterol total y triacilglicéridos.
Existe una mayor controversia entre el rol de la microbiota en la fisiopatología de la hipertensión arterial y su progresión en el tiempo. Se han publicado numerosos estudios de investigación a partir de los cuales Jia-Ming Han et al., realizaron un metaanálisis en el que se incluyeron 15.498 pacientes con enfermedad cardiovascular. Se observó que los niveles circulantes de TMAO presentaba una asociación lineal con el riesgo de hipertensión arterial. Con estos datos pareciera que la relación es clara, pero es un análisis cuya principal limitación es la heterogeneidad de datos, sobre todo por los países involucrados, las razas, los hábitos alimenticios, así como la variación del valor límite en los niveles de TMAO entre las diferentes cohortes, lo cual puede influir en los resultados. Por lo tanto es necesario realizar más estudios de investigación que validen dicha hipótesis. Otro de los metabolitos derivados de la microbiota intestinal que presenta un efecto significativo en la modulación de la presión arterial son los AGCC. Pluznick et al. describieron en modelos animales la dualidad en el efecto de estos subproductos. En primer lugar, generan un aumento de la presión arterial al actuar sobre el receptor Olft 78 en la arteriola aferente renal, y en segundo lugar, producen una respuesta vasodilatadora sistémica al estimular a los receptores GP 41 y GP 43, por lo tanto parecería ejercer efectos contrapuestos. Marques et al. describieron en modelos animales que la tanto la dieta con elevado contenido de fibra como la suplementación con acetato (200 mmol/L de acetato de magnesio en agua potable) reducen la hipertensión arterial inducida por el exceso de mineralocorticoides, por lo que se podría considerar a los AGCC como subproductos cardioprotectores.
Además de la enfermedad vascular periférica, es de absoluta relevancia mencionar que a lo largo de los últimos años se han desarrollado diferentes estudios que demuestran la asociación entre la microbiota intestinal y la insuficiencia cardíaca. Es sabido que la insuficiencia cardíaca es una enfermedad multisistémica. Sin embargo, se ha descrito que ciertos productos derivados de la microbiota pueden favorecer el desarrollo y marcar el pronóstico de pacientes con insuficiencia cardíaca. Uno de los primeros estudios sobre esta asociación fue desarrollado por Tang W et al. quienes realizaron una cohorte prospectiva y unicéntrica, en la cual describieron una relación directa entre los niveles circulantes de TMAO, marcadores oxidativos y riesgo de mortalidad a 5 años en pacientes con insuficiencia cardíaca establecida. En este estudio se observó que en contexto de niveles elevados de péptidos natriuréticos, como marcadores de progresión de la enfermedad, un nivel relativamente bajo de TMAO en ayunas se asoció con un riesgo de mortalidad menor que el observado cuando había niveles elevados de ambos biomarcadores. Sin embargo, es un estudio unicéntrico con alta incidencia de cardiopatía isquémica y, por lo tanto con un elevado sesgo de selección, por lo que requiere mayor validación. Un año después Organ et al. describieron en modelos animales el efecto del TMAO a nivel cardíaco observando un remodelado adverso en aquellos que presentaban concentraciones plasmáticas más elevadas de TMAO. Por lo tanto el TMAO no solamente podría favorecer la progresión de la insuficiencia cardíaca sino que también podría ser un factor desencadenante. Sin embargo, no es el único subproducto microbiano involucrado en la fisiopatología de la insuficiencia cardíaca. En el año 2023 Romano et al. publicaron un análisis de dos cohortes independientes (Estados Unidos con 3256 pacientes y Europa con 829 pacientes) observando que PAGln se asociaba de manera dosis dependiente con los índices de gravedad de la insuficiencia cardíaca. Aunque eran cohortes con sesgo de selección (numerosos pacientes con patologías isquémicas y un número reducido de pacientes con miocardiopatías no isquémicas), es uno de los primeros estudios que muestra la asociación entre PAGln y la insuficiencia cardíaca. Por lo tanto, los estudios previamente descritos demuestran la importancia del microbioma como un pilar fundamental en la estrategia terapéutica de pacientes con insuficiencia cardíaca.
En lo que respecta a sujetos con enfermedad coronaria, se observó que diversos productos derivados de la microbiota intestinal tienen un rol fundamental en respuesta a la lesión por isquemia-reperfusión. Entre ellos, se ha demostrado que tanto el TMAO como la PAGln se asocian con una elevada incidencia de eventos trombóticos al favorecer la activación plaquetaria. Además de ellos, Pu et al., describieron en modelos animales que los AB al actuar sobre el FXR, favorece la apoptosis de miocardiocitos en respuesta a la isquemia. Es por ello, que modular los productos derivados de la microbiota intestinal podría favorecer la evolución de estos pacientes.
Considerando que los productos derivados de la microbiota intestinal son elementos mensurables, que tienen una relación causal con el aumento de la frecuencia de las enfermedades cardiovasculares, y, en algunos casos, podría ser un factor predictivo e independiente de enfermedad, podría considerarse como un nuevo factor de riesgo cardiovascular.
Resulta atractivo pensar que si modificamos la composición de la microbiota intestinal, se podría disminuir el riesgo y la progresión de otros factores de riesgo cardiovasculares como de la enfermedad cardiovascular. Bajo esta premisa, se han realizado estudios de investigación principalmente en modelos animales sobre la supresión selectiva de la microbiota intestinal en pacientes con insuficiencia cardíaca, demostrando una reducción transitoria de citocinas proinflamatorias en respuesta a las endotoxinas circulantes. Sin embargo, no es una intervención que se podría mantener en el tiempo ya que favorecería el crecimiento de bacterias patógenas. Otra opción podría ser la supresión en la biosíntesis de los productos derivados de la microbiota, como lo desarrolló Wang et al. en el año 2015, observando que el DMB, un inhibidor de las TMA liasas, produjo una disminución significativa en los niveles de TMAO circulantes y, por lo tanto, una disminución en el desarrollo de placas de ateroma evaluado en la raíz aórtica. Sin embargo, sólo se ha probado su efecto beneficioso en modelos animales no considerando los eventuales mecanismos de resistencia.
5. CONCLUSIÓN
Las enfermedades cardiovasculares continúan siendo una causa importante de morbimortalidad a nivel mundial. Recientemente se ha postulado a la microbiota intestinal como un órgano endócrino por su capacidad de sintetizar agentes humorales que producen respuestas biológicas en el huésped, lo que podría llegar a favorecer el desarrollo de enfermedades de origen cardiovascular.
A lo largo de esta monografía se han analizado diferentes estudios de investigación que han tenido un objetivo en común: reflejar una asociación entre el microbioma y el estado de salud o enfermedad del huésped, no solamente a través de un mecanismo inflamatorio, sino por su acción sobre diferentes receptores e incluso como moduladores de la expresión genética.
Es de absoluta importancia considerar la dualidad en los efectos biológicos que presentan los productos derivados de la microbiota intestinal, encontrándose en un extremo aquellos que presentan un claro efecto perjudicial, como el TMAO y PAGln, y en el otro extremo se encuentran aquellas sustancias cuyo efecto metabólico podría ser beneficioso, como el coprostanol y los AGCC.
En definitiva, el conocimiento de los metabolitos sintetizados por la microbiota intestinal y su impacto en el huésped es un paso fundamental para la comprensión de este ecosistema inmensamente diverso y la base para el desarrollo de nuevas estrategias terapéuticas, ya sea mediante la manipulación dietética, alteración de la composición microbiana por el uso de probióticos o prebióticos, o mediante la inhibición de enzimas involucradas en la biosíntesis de los diferentes productos metabólicos.
Aunque la mayoría de los datos obtenidos sobre las intervenciones para modificar la composición de la microbiota intestinal o sus productos metabólicos derivan de estudios en modelos animales, probablemente, en un futuro no muy lejano, la modulación del microbioma sea una parte fundamental en el tratamiento de pacientes con enfermedades cardiovasculares.
6. REFERENCIAS BIBLIOGRÁFICAS.
- Nesci A., Carnuccio C., Ruggieri V., D’Alessandro A., Di Giorgio A., Santoro L. et al. Gut Microbiota and Cardiovascular Disease: Evidence on the Metabolic and Inflammatory Background of a Complex Relationship. Int. J. Mol. Sci. 2023; 24(10), 9087.
- Organización Mundial de la Salud (OMS). (2021). Fichas informativas sobre enfermedades cardiovasculares. Organización Mundial de la Salud. Ginebra, Suiza.
- Tang WH, Kitai T, Hazen SL. Gut Microbiota in Cardiovascular Health and Disease. Circ Res. 2017; 120(7): 1183-1196.
- Eckburg PB, Bik EM, Bernstein CN, et al. Diversity of the human intestinal microbial flora. Science. 2005; 308(5728): 1635-1638.
- Avery EG, Bartolomaeus H, Maifeld A, et al. The Gut Microbiome in Hypertension: Recent Advances and Future Perspectives. Circ Res. 2021; 128(7): 934-950.
- Brown JM, Hazen SL. The gut microbial endocrine organ: bacterially derived signals driving cardiometabolic diseases. Annu Rev Med. 2015; 66: 343-359.
- Tang WH, Wang Z, Fan Y, et al. Prognostic value of elevated levels of intestinal microbe-generated metabolite trimethylamine-N-oxide in patients with heart failure: refining the gut hypothesis. J Am Coll Cardiol. 2014; 64(18): 1908-1914.
- Perez-Muñoz ME, Arrieta MC, Ramer-Tait AE, Walter J. A critical assessment of the “sterile womb” and “in utero colonization” hypotheses: implications for research on the pioneer infant microbiome. Microbiome. 2017; 5(1): 48.
- Arumugam M, Raes J, Pelletier E, et al. Enterotypes of the human gut microbiome Nature. 2011; 473(7346): 174-180.
- Woese CR, Magrum LJ, Gupta R, et al. Secondary structure model for bacterial 16S ribosomal RNA: phylogenetic, enzymatic and chemical evidence. Nucleic Acids Res. 1980; 8(10): 2275-2293.
- Nelson KE., Weinstock GM., Highlander, S. K., Worley, K. C., Creasy, H. H., Wortman, J. R., et al. A catalog of reference genomes from the human microbiome. Science. 2010; 328(5981): 994-999.
- MetaHIT Consortium MetaHIT draft bacterial genomes at the Sanger Institute. http://www.sanger.ac.uk/resources/downloads/bacteria/metahit/
- Ríos-Covián, D., Ruas-Madiedo, P., Margolles, A., Gueimonde, M., de los Reyes-Gavilán, C. G., & Salazar, N. Intestinal short chain fatty acids and their link with diet and human health. Front. Microbiol. 2016; 7: 185.
- Peng L, Li ZR, Green RS, Holzman IR, Lin J. Butyrate enhances the intestinal barrier by facilitating tight junction assembly via activation of AMP-activated protein kinase in Caco-2 cell monolayers. J Nutr. 2009; 139(9): 1619-1625.
- Den Besten G., Van Eunen K., Groen AK., Venema K., Reijngoud DJ., Bakker BM. The role of short-chain fatty acids in the interplay between diet, gut microbiota, and host energy metabolism. J Lipid Res. 2013; 54(9): 2325-2340.
- Nallu A, Sharma S, Ramezani A, Muralidharan J, Raj D. Gut microbiome in chronic kidney disease: challenges and opportunities. Transl Res. 2017; 179: 24-37.
- Renz H., Brandtzaeg P., Hornef M. The impact of perinatal immune development on mucosal homeostasis and chronic inflammation. Nat Rev Immunol. 2011; 12(1): 9-23.
- Amar J., Lange C., Payros G., Garret, C., Chabo, C., Lantieri, O. et al. Blood microbiota dysbiosis is associated with the onset of cardiovascular events in a large general population: the D.E.S.I.R. study. PLoS One. 2013; 8(1): e54461.
- Ott SJ., El Mokhtari NE., Musfeldt M., Hellmig, S., Freitag, S., Rehman, A., et al. Detection of diverse bacterial signatures in atherosclerotic lesions of patients with coronary heart disease. Circulation. 2006; 113(7): 929-937.
- Karlsson FH., Fåk F., Nookaew I., Tremaroli, V., Fagerberg, B., Petranovic, D. et al. Symptomatic atherosclerosis is associated with an altered gut metagenome. Nat Commun. 2012; 3: 1245.
- Friedman GD., Cutter GR., Donahue RP., Hughes, G. H., Hulley, S. B., Jacobs, D. R., et al. CARDIA: study design, recruitment, and some characteristics of the examined subjects. J Clin Epidemiol. 1988; 41(11): 1105-1116.
- Sun S., Lulla A., Sioda M., Winglee, K., Wu, M. C., Jacobs, D. R. et al. Gut Microbiota Composition and Blood Pressure. Am J Hypertens. 2019;73(5):998-1006.
- Sandek A., Bauditz J., Swidsinski A., Buhner S., Weber-Eibel J., Von Haehling S. et al. Altered intestinal function in patients with chronic heart failure. J Am Coll Cardiol. 2007; 50(16): 1561-1569.
- Pasini E., Aquilani R., Testa C., Baiardi P., Angioletti S., Boschi F. et al. Pathogenic Gut Flora in Patients With Chronic Heart Failure. JACC Heart Fail. 2016; 4(3): 220-227.
- Dinakaran V., Rathinavel A., Pushpanathan M., Sivakumar R., Gunasekaran P., & Rajendhran J. Elevated levels of circulating DNA in cardiovascular disease patients: metagenomic profiling of microbiome in the circulation. PLoS One. 2014; 9(8): e105221.
- Schiattarella GG., Sannino A., Toscano E., Giugliano G., Gargiulo G., Franzone A. et al. Gut microbe-generated metabolite trimethylamine-N-oxide as cardiovascular risk biomarker: a systematic review and dose-response meta-analysis. Eur Heart J. 2017; 38(39): 2948-2956.
- Huang Y., Zhang H., Fan X., Wang J., Yin Y., Zhang Y. et al. The Role of Gut Microbiota and Trimethylamine N-oxide in Cardiovascular Diseases. J Cardiovasc Transl Res. 2023; 16(3): 581-589.
- Tang W. H., Wang Z., Levison B. S., Koeth R. A., Britt E. B., Fu X. et al. Intestinal microbial metabolism of phosphatidylcholine and cardiovascular risk. N Engl J Med. 2013; 368(17): 1575-1584.
- Zhu W., Jill G., Org E., Buffa J., Gupta N., Wang Z., et al. Gut microbial metabolite TMAO enhances platelet hyperreactivity and thrombosis risk. Cell. 2016; 165: 111-124.
- Seldin MM., Meng Y., Qi H., Zhu W., Wang Z., Hazen S. L. et al. Trimethylamine N-Oxide Promotes Vascular Inflammation Through Signaling of Mitogen-Activated Protein Kinase and Nuclear Factor-κB. J Am Heart Assoc. 2016; 5(2): e002767.
- Wang Z., Klipfell E., Bennett B. J., Koeth R., Levison B. S., Dugar, B. et al. Gut flora metabolism of phosphatidylcholine promotes cardiovascular disease. Nature. 2011; 472(7341): 57-63.
- Tan J., McKenzie C., Potamitis M., Thorburn AN., Mackay CR., Macia L. The role of short-chain fatty acids in health and disease. Adv Immunol. 2014; 121: 91-119.
- Brown A., Goldsworthy S., Barnes A., Eilert M., Tcheang L., Daniels D. et al. The orphan G protein-coupled receptors GPR41 and GPR43 are activated by propionate and other short chain carboxylic acids. J. Biol. Chem. 2003; 278: 11312-11329.
- Vinolo MA., Rodrigues HG., Nachbar RT., Curi R. Regulation of inflammation by short chain fatty acids. Nutrients. 2011; 3(10): 858-876.
- Stork, L., Ambruso, D., Wallner, S. et al. Pancytopenia in Propionic Acidemia: Hematologic Evaluation and Studies of Hematopoiesis in Vitro. Pediatr Res. 1986; 20: 783–788 (1986).
- Bartolomaeus H., Balogh A., Yakoub M., Homann S., Markó L., Höges S., Tsvetkov D. et al. Short-Chain Fatty Acid Propionate Protects From Hypertensive Cardiovascular Damage. Circulation. 2019; 139(11): 1407-1421.
- Vasavan T., Ferraro E., Ibrahim E., Dixon P., Gorelik J., Williamson C. Heart and bile acids – Clinical consequences of altered bile acid metabolism. Biochim Biophys Acta Mol Basis Dis. 2018; 1864(4 Pt B): 1345-1355.
- Poland JC., Flynn CR. Bile Acids, Their Receptors, and the Gut Microbiota. Physiology (Bethesda). 2021; 36(4): 235-245.
- Bishop-Bailey D., Walsh DT., Warner TD. Expression and activation of the farnesoid X receptor in the vasculature. Proc Natl Acad Sci U S A. 2004; 101(10): 3668-3673.
- Jun Pu, Ancai Yuan, Peiren Shan, Erhe Gao, Xiaoliang Wang, Yajing Wang, et al. Cardiomyocyte-expressed farnesoid-X-receptor is a novel apoptosis mediator and contributes to myocardial ischaemia/reperfusion injury, Eur Heart J, 2013; 34: 1834–1845.
- Daniel X. Tishkoff, Karl A. Nibbelink, Kristina H. Holmberg, Loredana Dandu, Robert U. Simpson, Functional Vitamin D Receptor (VDR) in the T-Tubules of Cardiac Myocytes: VDR Knockout Cardiomyocyte Contractility. Endocrinology, 2008; 149: 558–564.
- O. Binah , et al. “Digitalis like effects of biliary acids on the electrophysiology and contractility of the rat heart”. Rev. chil. Cardiol, 1987;335(2): 160-165.
- Vasavan T, Ferraro E, Ibrahim E, Dixon P, Gorelik J, Williamson C. Heart and bile acids – Clinical consequences of altered bile acid metabolism. Biochim Biophys Acta Mol Basis Dis. 2018; 1864 (4 Pt B): 1345-1355.
- Kazemian N, Mahmoudi M, Halperin F, Wu JC, Pakpour S. Gut microbiota and cardiovascular disease: opportunities and challenges. Microbiome. 2020; 8(1): 36.
- Peter Benno, Karsten Midtvedt, Mahbub Alam, Eje Collinder, Elisabeth Norin & Tore Midtvedt. Examination of intestinal conversion of cholesterol to coprostanol in 633 healthy subjects reveals an age- and sex-dependent pattern. Microb Ecol Health Dis. 2005; 17:4, 200-204.
- Kenny DJ, Plichta DR, Shungin D, Koppel, N., Hall, A. B., Fu, B. et al. Cholesterol Metabolism by Uncultured Human Gut Bacteria Influences Host Cholesterol Level. Cell Host Microbe. 2020; 28(2): 245-257.
- Dodd D, Spitzer MH, Van Treuren W, Merrill, B. D., Hryckowian, A. J., Higginbottom, S. K. et al. A gut bacterial pathway metabolizes aromatic amino acids into nine circulating metabolites. Nature. 2017; 551(7682): 648-652.
- Nemet, I., Saha, P. P., Gupta, N., Zhu, W., Romano, K. A., Skye, S. M., Cajka, T. et al. A Cardiovascular Disease-Linked Gut Microbial Metabolite Acts via Adrenergic Receptors. Cell. 2020; 180(5): 862-877.
- Romano, K. A., Nemet, I., Prasad Saha, P., Haghikia, A., Li, X. S., Mohan, M. L. et al. Gut Microbiota-Generated Phenylacetylglutamine and Heart Failure. Circ Heart Fail. 2023; 16(1): e009972.
- Hansson GK. Inflammation, atherosclerosis, and coronary artery disease. N Engl J Med. 2005; 352(16): 1685-1695.
- Wiedermann, C. J., Kiechl, S., Dunzendorfer, S., Schratzberger, P., Egger, G., Oberhollenzer. et al. Association of endotoxemia with carotid atherosclerosis and cardiovascular disease: prospective results from the Bruneck Study. J Am Coll Cardiol. 1999; 34(7): 1975-1981.
- Cani, P. D., Bibiloni, R., Knauf, C., Waget, A., Neyrinck, A. M., Delzenne, N. M., et al. Changes in gut microbiota control metabolic endotoxemia-induced inflammation in high-fat diet-induced obesity and diabetes in mice. Diabetes. 2008; 57(6): 1470-1481.
- Karlsson, F. H., Fåk, F., Nookaew, I., Tremaroli, V., Fagerberg, B., Petranovic, D. et al. Symptomatic atherosclerosis is associated with an altered gut metagenome. Nat Commun. 2012; 3: 1245.
- Ott, S. J., El Mokhtari, N. E., Musfeldt, M., Hellmig, S., Freitag, S., Rehman, A. et al. Detection of diverse bacterial signatures in atherosclerotic lesions of patients with coronary heart disease. Circulation. 2006; 113(7): 929-937.
- Senthong, V., Wang, Z., Li, X. S., Fan, Y., Wu, Y., Tang, W. H. et al. Intestinal Microbiota-Generated Metabolite Trimethylamine-N-Oxide and 5-Year Mortality Risk in Stable Coronary Artery Disease: The Contributory Role of Intestinal Microbiota in a COURAGE-Like Patient Cohort. J Am Heart Assoc. 2016; 5(6): e002816.
- Tang, W. H., Wang, Z., Levison, B. S., Koeth, R. A., Britt, E. B., Fu, X. et al. Intestinal microbial metabolism of phosphatidylcholine and cardiovascular risk. N Engl J Med. 2013; 368(17): 1575-1584.
- Wang, Z., Klipfell, E., Bennett, B. J., Koeth, R., Levison, B. S., Dugar, B. et al. Gut flora metabolism of phosphatidylcholine promotes cardiovascular disease. Nature. 2011; 472(7341): 57-63.
- Bundy, J. D., Li, C., Stuchlik, P., Bu, X., Kelly, T. N., Mills, K. T., et al. Systolic Blood Pressure Reduction and Risk of Cardiovascular Disease and Mortality: A Systematic Review and Network Meta-analysis. JAMA Cardiol. 2017; 2(7): 775-781.
- Han JM, Guo L, Chen XH, Xie Q, Song XY, Ma YL. Relationship between trimethylamine N-oxide and the risk of hypertension in patients with cardiovascular disease: A meta-analysis and dose-response relationship analysis. Medicine (Baltimore). 2024;103(1):e36784.
- Ufnal M, Jazwiec R, Dadlez M, Drapala A, Sikora M, Skrzypecki J. Trimethylamine-N-oxide: a carnitine-derived metabolite that prolongs the hypertensive effect of angiotensin II in rats. Can J Cardiol. 2014;30(12):1700-1705.
- Jiang S, Shui Y, Cui Y, et al. Gut microbiota dependent trimethylamine N-oxide aggravates angiotensin II-induced hypertension. Redox Biol. 2021; 46: 102115.
- Brunt VE, Casso AG, Gioscia-Ryan RA, et al. Gut Microbiome-Derived Metabolite Trimethylamine N-Oxide Induces Aortic Stiffening and Increases Systolic Blood Pressure With Aging in Mice and Humans. Hypertension. 2021; 78(2): 499-511.
- Mutengo KH, Masenga SK, Mweemba A, Mutale W, Kirabo A. Gut microbiota dependant trimethylamine N-oxide and hypertension. Front Physiol. 2023;14:1075641. Published 2023 Apr 6.
- Pluznick JL, Protzko RJ, Gevorgyan H, et al. Olfactory receptor responding to gut microbiota-derived signals plays a role in renin secretion and blood pressure regulation. Proc Natl Acad Sci U S A. 2013; 110(11): 4410-4415.
- Yang W, Zhang S, Zhu J, et al. Gut microbe-derived metabolite trimethylamine N-oxide accelerates fibroblast-myofibroblast differentiation and induces cardiac fibrosis. J Mol Cell Cardiol. 2019; 134: 119-130.
- Sandek A, Bauditz J, Swidsinski A, et al. Altered intestinal function in patients with chronic heart failure. J Am Coll Cardiol. 2007; 50(16): 1561-1569.
- Tang WH, Wang Z, Fan Y, et al. Prognostic value of elevated levels of intestinal microbe-generated metabolite trimethylamine-N-oxide in patients with heart failure: refining the gut hypothesis. J Am Coll Cardiol. 2014; 64(18): 1908-1914.
- Organ CL, Otsuka H, Bhushan S, Wang, Z., Bradley, J., Trivedi, R. et al. Choline Diet and Its Gut Microbe-Derived Metabolite, Trimethylamine N-Oxide, Exacerbate Pressure Overload-Induced Heart Failure. Circ Heart Fail. 2016; 9(1): e002314.
- Appel, L. J., Moore, T. J., Obarzanek, E., Vollmer, W. M., Svetkey, L. P., Sacks, F. M., et al. A clinical trial of the effects of dietary patterns on blood pressure. DASH Collaborative Research Group. N Engl J Med. 1997; 336(16): 1117-1124.
- Whelton SP, Hyre AD, Pedersen B, Yi Y, Whelton PK, He J. Effect of dietary fiber intake on blood pressure: a meta-analysis of randomized, controlled clinical trials. J Hypertens. 2005; 23(3): 475-481.
- Desai, M. S., Seekatz, A. M., Koropatkin, N. M., Kamada, N., Hickey, C. A., Wolter. et al. A Dietary Fiber-Deprived Gut Microbiota Degrades the Colonic Mucus Barrier and Enhances Pathogen Susceptibility. Cell. 2016; 167(5): 1339-1353.
- Marques, F. Z., Nelson, E., Chu, P. Y., Horlock, D., Fiedler, A., Ziemann, M. et al. High-Fiber Diet and Acetate Supplementation Change the Gut Microbiota and Prevent the Development of Hypertension and Heart Failure in Hypertensive Mice. Circulation. 2017; 135(10): 964-977.
- Knöll, R., Linke, W. A., Zou, P., Miocic, S., Kostin, S., Buyandelger, B., et al. Telethonin deficiency is associated with maladaptation to biomechanical stress in the mammalian heart. Circ Res. 2011; 109(7): 758-769.
- Koskivirta, I., Kassiri, Z., Rahkonen, O., Kiviranta, R., Oudit, G. Y., McKee, T. D. et al. Mice with tissue inhibitor of metalloproteinases 4 (Timp4) deletion succumb to induced myocardial infarction but not to cardiac pressure overload. J Biol Chem. 2010; 285(32): 24487-24493.
- Khachigian LM. Early growth response-1 in cardiovascular pathobiology. Circ Res. 2006; 98(2): 186-191.
- Gómez A. Biomedica. 2019; 39(4): 617-621.
- Jones ML, Martoni CJ, Parent M, Prakash S. Cholesterol-lowering efficacy of a microencapsulated bile salt hydrolase-active Lactobacillus reuteri NCIMB 30242 yoghurt formulation in hypercholesterolaemic adults. Br J Nutr. 2012; 107(10): 1505-1513.
- Olas B. Probiotics, Prebiotics and Synbiotics-A Promising Strategy in Prevention and Treatment of Cardiovascular Diseases?. Int J Mol Sci. 2020; 21(24): 9737.
- Parnell JA, Reimer RA. Effect of prebiotic fibre supplementation on hepatic gene expression and serum lipids: a dose-response study in JCR:LA-cp rats. Br J Nutr. 2010;103(11):1577-1584.
- Wang, Z., Roberts, A. B., Buffa, J. A., Levison, B. S., Zhu, W., Org, E., et al. Non-lethal Inhibition of Gut Microbial Trimethylamine Production for the Treatment of Atherosclerosis. Cell. 2015; 163(7): 1585-1595.
- Viviane M. Conraads, Philippe G. Jorens, Luc S. De Clerck, Hendrik K. Van Saene, Margaretha M. Ieven, et al. Eur J Heart Fail. 2004;6: 483-491.
7. TABLAS Y FIGURAS

Figura Nº 1. Composición bacteriana de la microbiota intestinal a nivel de género y nivel de filum o clase, obtenida mediante secuenciación masiva de ADN extraído de muestras fecales de individuos españoles y daneses de la cohorte MetaHIT. Extraído de Arumugam, M., Raes, J., Pelletier, E., Le Paslier, D., Yamada, T., Mende, et al. “Enterotypes of the human gut microbiome”. Nature. 2011; 473:174-180.

Figura Nº 2. Descripción esquemática de los mecanismos propuestos, mediante los cuales, los AGCC aumentan la oxidación de ácidos grasos en hígado, músculo, tejido adiposo blanco y pardo. En el músculo y el hígado, se postula que los AGCC inducen la activación de la AMPK mediante su fosforilación directa, lo que aumenta la relación entre AMP/ATP. En el tejido adiposo blanco, los AGCC ejercen su efecto al disminuir la sensibilidad a la insulina a través de la activación del Ffar 2, lo que resulta en una reducción del almacenamiento de grasa. Además, la interacción de los AGCC con Ffar2 inhibe la AC, con el consecuente aumento en la relación ATP/cAMP, lo que a su vez inhibe la lipólisis mediante la inhibición de la HSL, lo que resulta en una disminución de los ácidos grasos libres en circulación plasmática. AGCC: ácidos grasos de cadena corta, PGC-1α: coactivador 1 α del receptor gamma activado por proliferadores de peroxisomas, pAMPK: proteína quinasa activada por AMP fosforilada, AMP: Adenosín monofosfato, cAMP: Adenosín monofosfato cíclica, ATP: Adenosín trifosfato, Ffar 2: receptor acoplado a proteínas G de ácidos grasos libres tipo 2, PKA: proteína quinasa A, HSL: lipasa hormono sensible, UCP-1: proteína desacoplante tipo 1, AC: adenilato ciclasa. Extraído de Den Besten G, van Eunen K, Groen AK, Venema K, Reijngoud DJ, Bakker BM. The role of short-chain fatty acids in the interplay between diet, gut microbiota, and host energy metabolism. J Lipid Res. 2013; 54(9): 2325-2340

Figura Nº 3. Niveles de ADN circulante en el plasma de pacientes con enfermedad cardiovascular y muestras de control sanas (en escala Log10). ECV: enfermedad cardiovascular, EV: enfermedad valvular, CI: cardiopatía isquémica, CC: cardiopatía congénita. Extraído de Dinakaran V, Rathinavel A, Pushpanathan M, Sivakumar R, Gunasekaran P, Rajendhran J. Elevated levels of circulating DNA in cardiovascular disease patients: metagenomic profiling of microbiome in the circulation. PLoS One. 2014; 9(8): e105221.

Figura Nº 4. Relación entre el nivel plasmático de TMAO y el riesgo de eventos trombóticos a 3 años (infarto de miocardio o accidente cerebrovascular) en sujetos sometidos a angiografía coronaria diagnóstica electiva. Se utilizaron análisis de supervivencia de Kaplan-Meier y análisis de regresión de riesgos proporcionales de Cox para el análisis del tiempo transcurrido hasta el evento para determinar el índice de riesgo ajustado y los intervalos de confianza del 95 %.
TMAO: N-óxido de trimetilamina, IM: infarto de miocardio, IC 95%: intervalo de confianza del 95% HF: hazard ratio o razón de riesgo instantáneo, Q1: primer cuartil, Q2: segundo cuartil, Q3: tercer cuartil, Q4: cuarto cuartil. Extraído de Zhu W., Gregory J., Org E., Buffa, J. A., Gupta, N., Wang, Z., Gut microbial metabolite TMAO enahances platelet hyperreactivity and thrombosis risk. 2016; 165: 111-124.

Figura Nº 5. Esquemas resumidos que ilustran la participación de los microbios intestinales en el desarrollo de la hiperreactividad plaquetaria. La exposición crónica a una dieta rica en colina conduce a un cambio en la composición y función microbiana intestinal, con aumento del TMAO circulante. La exposición de las plaquetas a niveles elevados de TMAO aumenta la liberación de las reservas de calcio intracelular provocadas por estímulos submáximos (trombina, ADP y colágeno) y la hiperreactividad plaquetaria. TMAO: N-óxido de trimetilamina, ADP: Adenosín difosfato, GPVI: glicoproteína tipo IV, Gq: proteína acopladas a proteínas G tipo q, IP3: inositol trifosfato, IP3R: receptor de inositol trifosfato, P2Y12: receptor de purinas tipo P2Y12, PAR: receptor activado por proteasa, PLC: fosfolipasa C, PIP2: fosfatidilinositol bifosfato. Extraído de Zhu W., Gregory J., Org E., Gut microbial metabolite TMAO enahances platelet hyperreactivity and thrombosis risk. 2016; 165: 111-124.

Figura Nº 6. Descripción esquemática de las vías de señalización ante el estímulo sobre receptores el receptor GPR43. Representación de los efectos de los AGCC mediante la inhibición de la actividad de la histona desacetilasa. (A) GPR43 se acopla a las proteínas Gi y Gq, que interactúan con varias proteínas, incluida la Adenilato Ciclasa, proteínas G pequeñas, proteínas quinasas activadas por mitógenos, fosfolipasa C y A2, canales iónicos y factores de transcripción. (B) Los AGCC también tienen la capacidad de modular la transcripción de varios genes de acuerdo a la metilación de histonas y proteínas no histonas. AGCC: ácidos grasos de cadena corta, GPR43: receptor acoplado a proteína G 43, GDP: guanosín difosfato, GTP: guanosín trifosfato, MAPK: quinasas activadas por mitógenos, PLA2: fosfolipasa A2, PLC: fosfolipasa C, HAT: histona acetiltransferasa, HDAC: histonas desacetiladas. Extraído de Vinolo MA, Rodrigues HG, Nachbar RT, Curi R. Regulation of inflammation by short chain fatty acids. Nutrients. 2011; 3::858-76.

Figura Nº 7. Efecto inotrópico negativo de PAGln sobre el miocito. Se observa la miografía de la contracción del sarcómero en respuesta a diferentes estímulos (control, PAGln, Epi + PAGln, Epi).
Epi: epinefrina, PAGln: fenilacetilglutamina. Extraído de Romano, K. A., Nemet, I., Prasad Saha, P., Haghikia, A., Li, X. S., Mohan, M. L. et al. Gut Microbiota-Generated Phenylacetylglutamine and Heart Failure. Circ Heart Fail. 2023; 16(1): e009972.

Figura Nº 8. Efecto del DOCA en modelos animales, control, dieta rieca en fibra y dieta suplementada con acetato. (A) Relación F/B es menor en ratones alimentados con alto contenido de fibra o acetato en comparación con los animales control. (B) Los ratones alimentados con una dieta rica en fibra o acetato tenían niveles significativamente más altos de bacterias de la especie Bacteroides acidifaciens que los ratones alimentados con la comida de control.
DOCA: desoxicorticosterona, F: Firmicutes, B: Bacteroides, ***P < 0.001, ^^^P < 0.001. Extraído de Marques, F. Z., Nelson, E., Chu, P. Y., Horlock, D., Fiedler, A., Ziemann, M. et al. High-Fiber Diet and Acetate Supplementation Change the Gut Microbiota and Prevent the Development of Hypertension and Heart Failure in Hypertensive Mice. Circulation. 2017; 135(10): 964-977
9. AGRADECIMIENTOS
En primer lugar, agradecer a mi familia por el apoyo incondicional en tantos años de estudio y trabajo, nada hubiese sido posible sin ellos.
A mis compañeros, amigos y prácticamente hermanos de residencia, que hemos compartido innumerables experiencias, gracias por el sostén en todos estos años.
A mis tutores en la redacción de este trabajo, quienes con paciencia y predisposición pudieron guiarme a finalizarlo.